
Background: Multisystem inflammatory syndrome in children (MIS-C) was recognized during the 2020 pandemic of SARS-CoV-2. Because of the relative rarity current knowledge is limited, especially in the European Caucasian population.
Objectives: To report the epidemiology, clinical and laboratory characteristics of patients with MIS-C in a nationwide cohort study in Slovenia.
Methods: This is a nationwide prospective cohort study of all consecutive patients with MIS-C, admitted from the beginning of epidemics to 31st December 2020 to University Medical Centre Ljubljana, Slovenia, the only tertiary care pediatric rheumatology center in the country. The inclusion criteria were meeting the CDC criteria for MIS-C. Infection with SARS-CoV-2 was confirmed in all patients by positive antibodies for SARS-CoV-2. Data were collected from the patients’ medical records. Data on the COVID-19 epidemics in Slovenia were collected from National Institute of Public Health. Population data were provided by the Statistical Office of the Republic of Slovenia.
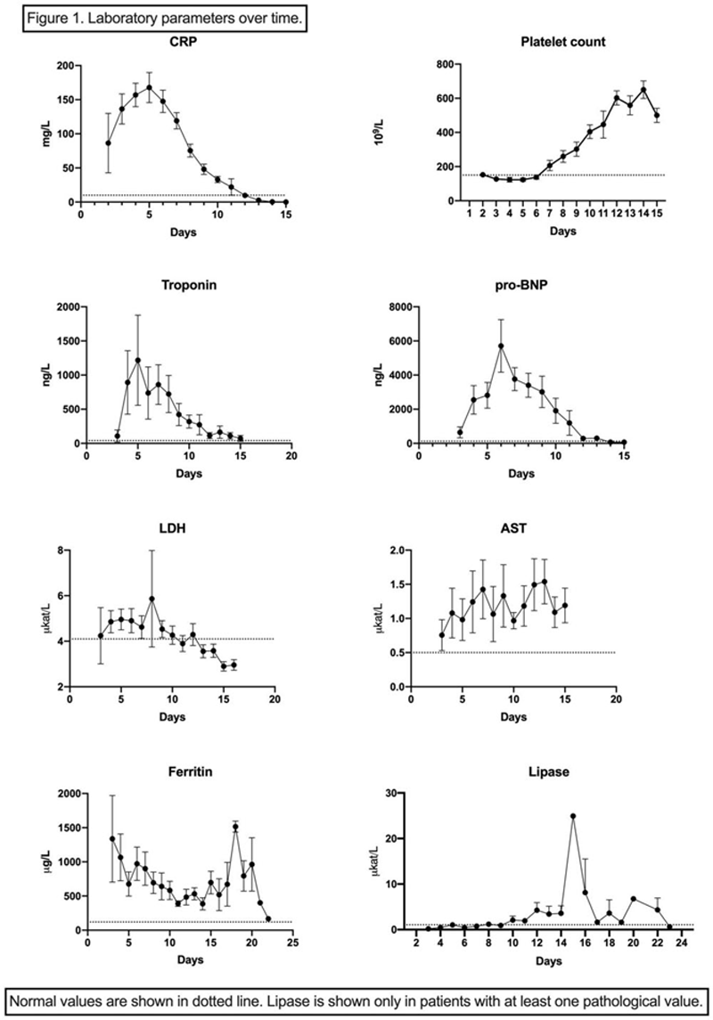
Results: Twenty-three patients with MIS-C were diagnosed nationwide in Slovenia, all of them in the second wave of epidemics from 14th September to 31st December 2020. All patients were Caucasian and the estimated prevalence of MIS-C was 5.8/100 000 persons younger than 19 years of age. Detailed analyses were available in 20 patients of which 14 were boys (70 %), median age was 12.4 years (4 months to 17.7 years). Two patients (10 %) were treated in the intensive care unit and none of the patients died. Troponin was elevated in 15/20 (75 %) patients during the disease course, and 7/15 (47 %) of these had normal troponin level at admission. The serum level of troponin closely followed the serum level of CRP. Six out of 20 (30 %) patients had elevated pancreatic enzymes in the second week of the disease after treatment was already given,and one patient developed asymptomatic acute pancreatitis with serum lipase level reaching the maximum of 25μkat/L. All patients had elevated levels of D-dimer with no signs of thrombosis. Five patients (5/20; 25 %) had pleural effusions and five patients (5/20, 25 %) had ascites. Half of the patients (10/20; 50 %) had hepatosplenomegaly and eight (8/20; 40 %) had mesenterial lymphadenopathy. Three patients (3/20; 15 %) had radiologic signs of cholecystitis. Two patients had thickened lung parenchyma. All patients received IVIG and systemic glucocorticosteroids. Because of resistant or organ threatening disease 4 patients (4/20, 20%) received high dose methylprednisolone pulse therapy. Biologic therapy with anakinra was started in 2 patients. Nineteen patients (19/20, 95%) received acetylsalicylic acid and prophylactic anticoagulation was prescribed in 15/20 (75%) of patients.
The mean follow up was 50 days (14 – 122). At the last follow-up visit all patients had normal laboratory parameters of inflammation, troponin, pro-BNP, d-dimer values and normal heart function.
Clinical characteristics.
| n (% ) | |
| Fever n (% ) | 20 (100) |
| Fever duration (days) [ min; max] | 5.9 [4; 8] |
| Headache | 8 (40) |
| Lymphadenopathy | 15 (75) |
| Chest pain | 6 (30) |
| Tachycardia | 16 (80) |
| Gastrointestinal involvement | 19 (95) |
| •Abdominal pain | 16 (80) |
| •Vomiting | 11 (55) |
| •Diarrhoea | 9 (45) |
| •Loss of apetite | 18 (90) |
| Cough | 7 (35) |
| Skin and mucous involvement | 14 (70) |
| •Rash | 12 (60) |
| •Palmar/plantar oedema | 3 (15) |
| •Lip and mouth changes | 12 (60) |
| •Bilateral conjunctivitis | 14 (70) |
| Myocarditis | 19 (95) |
Conclusion. A very high incidence of MIS-C, estimated 5.8/100 000 persons under the age of 19 with a predominantly cardiac involvement but very good outcome was noted in European Caucasian population in a nationwide cohort study in Slovenia. Attention to newly described pancreatic involvement should be raised.
Conclusion: A very high incidence of MIS-C, estimated 5.8/100 000 persons under the age of 19 with a predominantly cardiac involvement but very good outcome was noted in European Caucasian population in a nationwide cohort study in Slovenia. Attention to newly described pancreatic involvement should be raised.
Disclosure of Interests: None declared