
Background: Previous findings on hydroxychloroquine (HCQ) use and the risk of arrhythmia are contradictory and low-level evidence-based results. Additional research is required to evaluate the safety profile of HCQ to arrhythmia in managing rheumatoid arthritis (RA) and systemic lupus erythematosus (SLE).
Objectives: To assess the association between HCQ initiation and risk of incident arrhythmia among newly diagnosed RA and SLE patients.
Methods: All patients with incident RA or SLE and no arrhythmic events or anti-arrhythmic medications and no HCQ use prior to disease index date in British Columbia, Canada, between January 1997 and March 2015 were identified using administrative databases. HCQ initiator and HCQ non-initiator groups were identified and matched 1:1 by propensity scores using baseline confounders on demographics including presence of RA or SLE disease and duration of disease prior to the index date of HCQ initiators or non-initiators, comorbidities, other medications, and healthcare utilization. Matching was done within the same calendar year to account for a potential secular trend in HCQ use and risk of arrhythmia. Outcomes were any new arrhythmias, atrial fibrillation, abnormal electrocardiogram including prolonged QT syndrome and conduction disorder, and other unspecified arrhythmias during follow-up. We used Cox proportional hazard models with death as a competing event to assess the association of HCQ initiation and the outcomes.
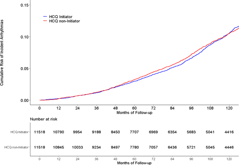
Results: We identified 11,518 HCQ initiators (10,655 RA and 863 SLE patients, mean ± SD age 55.9 ± 15.1 years, 76.1% female) and 11,518 HCQ non-initiators (10,639 RA and 879 SLE patients, mean ± SD age 56.0 ± 16.2 years, 76.4% female) after 1:1 propensity score matching. Over the mean follow-up of eight years, there were 1,610 and 1,646 incident arrhythmias in the HCQ initiator and non-initiator groups, respectively. The crude incidence rates of arrhythmia were 17.5, and 18.1 per 1,000 person-years, respectively. Cumulative risk of incident arrhythmia remained similar for both groups. (
Incident arrhythmias of any type among RA and SLE patients initiating HCQ prescription compared with HCQ non-initiators
| HCQ initiator | HCQ non-initiator | |
|---|---|---|
| Participants (number) | 11,518 | 11,518 |
| Mean follow-up (years) | 8.00 | 7.89 |
| Events (number) | 1,610 | 1,646 |
| Crude incidence rate per 1000 person-years | 17.48 | 18.12 |
| Unadjusted HR (95% CI) | 0.98 (0.91-1.05) | 1.00 (reference) |
| Adjusted# HR (95% CI) | 0.99 (0.92-1.06) | 1.00 (reference) |
Abbreviations: HCQ , hydroxychloroquine; HR , hazard ratio.
#The multivariable Cox proportional hazard model was adjusted for baseline confounders on demographics, comorbidities, medications, and healthcare utilization.
Cumulative risk of incident arrhythmias for HCQ initiators and non-initiators over the follow-up time.
Conclusion: There is no increased risk of any type of arrhythmia among new users of HCQ in RA and SLE patients. We believe the results of this large cohort study will add to the confidence with which HCQ can be used in RA and SLE management.
Disclosure of Interests: None declared.