
Background: During the first months of the Sars-CoV-2 pandemic, antimalarial drugs were the central axis of the treatment of patients with acute respiratory infection. After that, several studies reported a risk of prolongation of corrected QT interval (QTc) at the electrocardiogram (ECG).
Historically, these drugs, have been the common denominator in the treatment of patients with Systemic Lupus Erythematosus (SLE).
Objectives: To analyze the possible relationship between the use of antimalarial drugs ant the electrocardiographic alterations in patients diagnosed with SLE.
Methods: Cross-sectional study in patients diagnosed with SLE (SLICC 2012). In all of them, we performed a 12-lead ECG at rest. We measured the QT interval: manually and automatically, ant its correction was made according to the Hodge formule (QTc).
Results: 91 patients diagnosed with SLE were included in the study. Of the total of patients included in the study, 64 were in current treatment with an antimalarial drug, with a mean of 9.09 (5.73) years of treatment, and a mean cumulative dosage of 813.16 (436.12) gr.
Of the patients on current treatment with antimalarial drugs, 4.69% had a prolonged QTc, compared to 3.7% of the patients without current treatment with these drugs.
| NO antimalarialn= 27 | YES antimalarialn= 64 | |
|---|---|---|
| Heart disease | 7 (25,93%) | 5 (7,81%) |
| Cumulative dosage HCQ (gr ) | 316,41 (457,28) | 813,16 (436,12) |
| ECG disorders | 5 (18,52%) | 12 (18,75%) |
| Structural disorders | 1 (3,7%) | 6 (9,38%) |
| Electrical conduction disorders | 2 (7,41%) | 6 (9,38%) |
We analyzed the possible relationship between the QTc interval, the current treatment with antimalarial drugs, and the cumulated dosage of this medication. We corrected the lineal regression models by the years of disease evolution, the presence or absence of known heart disease, the women gender, and other treatments such as antiarrhythmics or beta-blockers.
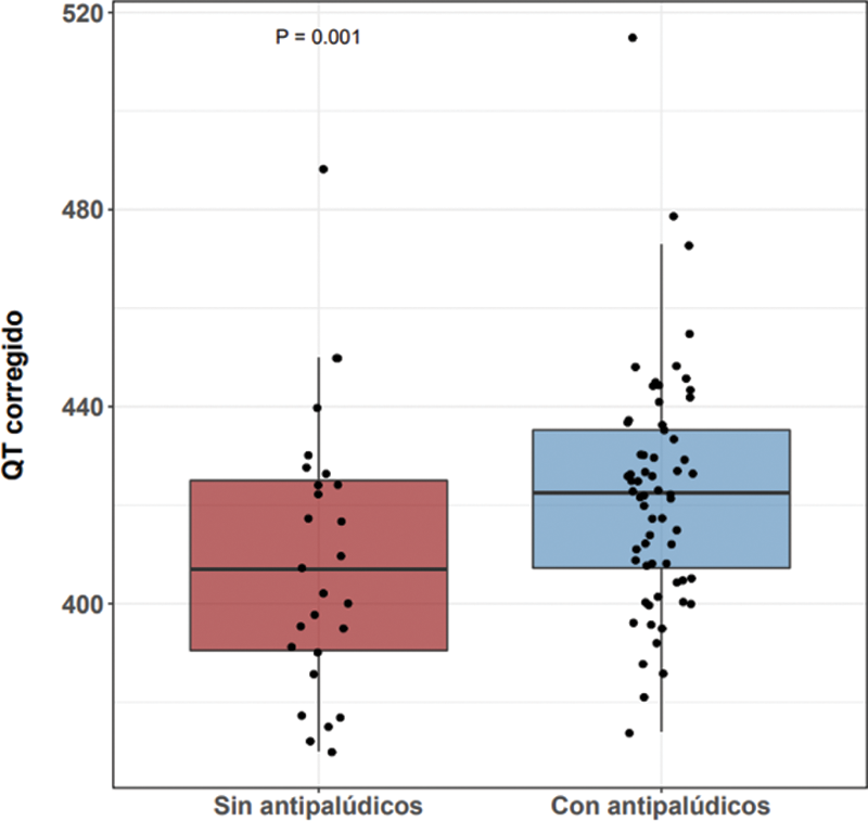
We found a statistically significant association between taking antimalarial drugs and the elongated QTc interval (p= 0,001). Nevertheless, in the multivariate analysis, we did not found a significant relationship between the ECG alterations and the treatment with antimalarial drugs.
Figure 1.
Conclusion: In our study, we did not observe a direct relationship between the intake of antimalarial drugs and the alteration of the corrected QT interval.
REFERENCES:
N/A
Disclosure of Interests: None declared