
Background Systemic Lupus Erythematosus (SLE) is characterized by low levels of serum C3 and C4. Low complements in SLE may either be due to increased consumption or decreased synthesis, the exact mechanisms of which is unknown. C4 gene has copy number variations and exists as two functionally distinct but genetically homologous isoforms, C4A (0-8 copies) and C4B (0-3 copies). The genes are either long (L) or short (S) based on a 6.4kb Human Endogenous Retrovirus K (HERV-K) insertion. Low copy numbers of complement C4 genes in systemic autoimmune disorders and its link with autoantibodies, disease subgroups have been reported.
Objectives To characterize C4 and C4-HERV genetic diversity in SLE and its relationship with serum complement levels, autoantibodies, disease activity, clinical subgroups and HLA.
Methods Genomic DNA from 70 SLE and 90 controls were used to characterize the copy numbers of C4A and C4B genes and the frequency of HERV insertion (C4AL, C4BL) using droplet digital polymerase chain reaction. High resolution typing of 8 HLA genes was done using next generation sequencing. Chi-square test was used to compare the frequencies of C4, C4-HERV structural elements and HLA between groups. Correlation with complement levels, number of autoantibodies present, SLEDAI and clinical subgroups was done using Spearman’s nonparametric test.
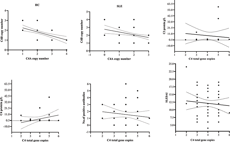
Results In this cohort, total C4 gene copies ranged from 2-6 with two copies of C4A and C4B genes being frequent; there were no C4 null alleles, and a negative correlation was noted between C4A and C4B copy numbers (r=-0.3713; p<0.001; Figure 1). Compared to controls, presence of two or less copies of C4A gene was associated with SLE risk while C4B frequency was comparable between the groups. Significantly increased frequency of HERV insertion in C4A than in C4B gene was observed. Of the 34 different C4-HERV genotypes observed, 7 were at a frequency greater than 5%. Though the frequency of AL-AL-BL-BS genotype was overrepresented in SLE, the difference was not statistically significant. The AL-AL-AL-BS genotype was significantly higher in controls than SLE (9% vs 1%, p=0.04; Table 1). HLA-DPA1*02 and DPB1*13 were more frequent in subjects with C4B >2 copies than in those with C4B ≤2 copies (33% vs 61%; Pc=0.04 & 5% vs 28%; Pc=0.04). There was no correlation between the C4 as well as C4-HERV gene copy numbers and serum levels of complement, autoantibodies, SLEDAI and SLE clinical subgroups (Figure 1)
Conclusion Our data show that, although the C4A and C4B gene diversity is different between cases and controls, it does not correlate with serum complement levels, autoantibodies, disease activity and clinical subgroups in SLE. Low C4A copy number and increased insertion of HERV in C4A may be a risk for SLE. Our findings in this small cohort need further validation in a larger homogenous SLE cohort.
| C4A copy numbers | SLE; n=70 | % | HC; n=90 | % | P | OR | 95% CI |
|---|---|---|---|---|---|---|---|
| ≤2 | 56 | 80% | 53 | 59% | 0.005 | 2.79 | 1.29 to 6.22 |
| >2 | 14 | 20% | 37 | 41% | 0.005 | 0.36 | 0.16 to 0.77 |
| C4B copy numbers | |||||||
| ≤2 | 56 | 80% | 81 | 90% | NS | 0.44 | 0.16 to 1.20 |
| >2 | 14 | 20% | 9 | 10% | NS | 2.25 | 0.84 to 6.30 |
| SLE C4-HERV | C4A; n=70 | % | C4B; n=70 | % | P | OR | 95% CI |
| 0 HERV insertion | 2 | 3 | 19 | 27 | 0.000 | 0.08 | 0.01-0.36 |
| 1-3 HERV insertion | 68 | 97 | 51 | 73 | 0.000 | 12.67 | 2.81-115.30 |
| C4 genotypes | SLE; n=70 | % | HC; n=90 | % | P value | OR | 95% CI |
| AL-AL-BL-BS | 14 | 20% | 12 | 13% | NS | ||
| AL-AL-AL-BS | 1 | 1% | 8 | 9% | 0.04 | 0.15 | 0.00 to 1.16 |
| AL-AL-AS-BL-BS | 8 | 11% | 8 | 9% | NS | ||
| AL-AL-AS-BL-BL | 1 | 1% | 7 | 8% | NS | ||
| AL-AL-BL | 4 | 6% | 7 | 8% | NS | ||
| AL-AL-BL-BL | 7 | 10% | 6 | 7% | NS | ||
| AL-AL-BS-BS | 7 | 10% | 6 | 7% | NS | ||
| AL-AL-BS | 5 | 7% | 4 | 4% | NS |
C4, Complement C4; HERV, Human Endogenous Retro Virus; SLE, Systemic Lupus Erythematosus; HC, Healthy Controls; P<0.05 considered significant
Image/graph:

Figure 1. Association of C4 gene copy numbers with serum complements, autoantibodies & SLEDAI
Acknowledgements This study was funded by “Centre Franco-Indien pour la Promotion de la Recherche Avancée (5103-1-Tamouza/Negi)” and CMM was a post-doctoral fellow of CEFIPRA 5103-1
Disclosure of Interests None Declared.
Keywords: Innate immunity, Systemic lupus erythematosus, Genetics/Epigenetics
DOI: 10.1136/annrheumdis-2023-eular.5545