
Background: Janus Kinase inhibitors (JAKi), like baricitinib (BARI), are effective in the treatment of rheumatoid arthritis (RA) and are used as monotherapy or in combination with conventional DMARDs (csDMARDs). While effective in reducing the signs and symptoms of RA, the safety of the treatment with BARI is of key interest. In contrast to clinical trials, in which a selected RA patient population is exposed to BARI, clinical practice is different as a more heterogeneous RA patient population is exposed to BARI and no regulations on the dose of concomitant methotrexate (MTX) therapy are in place. Hence, the safety pattern of BARI in clinical practice may be different requiring the analysis of well-documented longitudinal clinical cohorts that are exposed to BARI as monotherapy and combination therapy.
Objectives: The aim of our study was to describe our experience in routine practice on the long-term efficacy and safety of BARI as mono (MONO)-or combination therapy (COMBO) in a prospective, open label cohort of RA patients who were inadequate responders to previous cs/btsDMARD therapy.
Methods: Patients with RA meeting the ACR/EULAR 2010 classification criteria and starting BARI treatment within label indications were enrolled in a single-center, prospective cohort after providing informed consent (approved by ethics committee 19_18 B) from 2017 to 2023. Patient demographics, comorbidities, medical history, and disease activity parameters such as tender and swollen joint counts (TJC/SJC), composite scores, and patient-reported outcome measures, along with medication, were systematically recorded at baseline (initiation of therapy) and every three months thereafter until the last documented visit in the cohort. The last documented visit corresponds to either the patient’s final visit or the date of treatment termination. Reasons for discontinuation of BARI were documented. To assess clinical efficacy, DAS28-ESR responses were documented at respective visits up to month 72. Least-square mean DAS28-ESR scores over time were estimated using linear mixed-effects models, incorporating time-group interactions. BARI survival and the probability of remission over time were calculated using the Kaplan-Meier method.
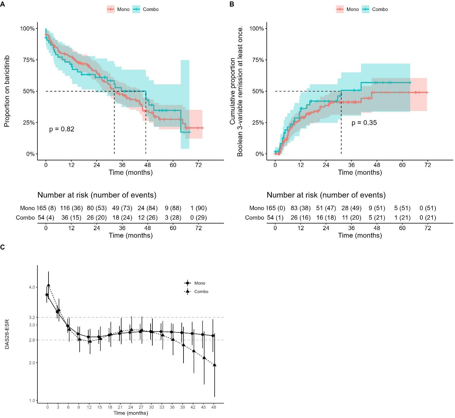
Results: A total of 219 individuals undergoing BARI therapy were assessed until August 2023, (157 women/62 men). Among these, 54 patients received a combination of BARI and methotrexate (MTX), while 165 patients underwent monotherapy with BARI. The mean DAS 28 ESR at baseline was 4.0 (1.1). Baseline characteristics and disease activity were statistically comparable between the MONO and COMBO groups (Table 1). Analysis of drug survival up to 72 months indicated comparable outcomes between both groups (Figure 1A, p=0.82), with an overall median survival of 36-months. Notably, 72 patients (33%), achieved Boolean 3-variable Remission criteria at least once with no significant difference between groups (Figure 1B). Disease activity remained in the low activity range after 6 months of treatment initiation with a similar course between groups (Figure 1C)
Over the course of the study, treatment was discontinued in 24 patients (10.95%) due to adverse events. Specifically, treatment cessation occurred in four patients due to thrombosis events, each with distinct risk factors: Patient 1 was over 75 years old with a history of cardiovascular disease (CVD), Patient 2 was 65 years old with a history of CVD, Patient 3 was <65 but had a history of CVD, and Patient 4 was <65 with a history of previous thrombosis. We observed no new cases of CVD or malignancy during the study period.
Conclusion: In routine practice, BARI is effective as MONO and COMBO therapy and shows overall high drug persistence rates. Thrombosis occurred in patients with underlying cardiovascular risk factors. No new safety issues were detected during this period of observation.
Table 1. Baseline characteristics are shown for all patients as well as for MONO COMBO arm: statistically no significant difference between the groups.
(A) Baricitinib drug survival, (B) cumulative proportion of participants achieving Boolean 3-variable remission at least once, (C) mean DAS-28 scores over time.
REFERENCES NIL. Acknowledgements: This work was funded by the Deutsche Forschungsgemeinschaft (DFG, German Research Foundation) – SFB 1483 – Project-ID 442419336, EmpkinS. The cohort established without the support of the industry. Eli Lilly supported the analysis of part of the data.
Disclosure of Interests: None declared.