
Background: Systemic lupus erythematosus (SLE) is a complex, chronic autoimmune disease characterized by inflammation in multiple organ systems. The pathogenesis of SLE involves a multifactorial interplay of genetic, environmental, and immunological factors. Recent studies have highlighted the role of body mass index (BMI) in modulating immune responses and metabolic processes, which may influence the course of autoimmune diseases. BMI has been shown to affect immune cell populations, cytokine profiles, and the gut microbiota, all of which are implicated in the pathogenesis of SLE. However, the specific relationship between BMI and SLE disease activity, as well as the underlying immunological mechanisms, remains poorly understood.
Objectives: The primary objective of this study was to investigate the association between BMI and disease activity in SLE patients, as measured by the Systemic Lupus Erythematosus Disease Activity Index (SLEDAI). Additionally, we aimed to explore the impact of BMI on immune profiles, including T-helper (Th) cell subsets and regulatory T cells (Tregs), and to evaluate the potential role of BMI in the onset and progression of SLE.
Methods: A retrospective cross-sectional analysis was conducted on 190 SLE patients and 192 healthy controls. Patients were categorized into three groups based on BMI: low (<18.5 kg/m²), normal (18.5-24.9 kg/m²), and overweight/obese (≥25 kg/m²). Data were analyzed using the Kolmogorov-Smirnov test to assess normal distribution, with continuous data presented as mean ± SD and categorical data as absolute numbers and percentages. Differences between groups were analyzed using the t-test for normally distributed data and the Mann-Whitney U test for non-normally distributed data. Correlations between clinical parameters and immune cell subsets were evaluated using Pearson’s or Spearman’s correlation coefficients, as appropriate. All statistical analyses were performed using SPSS V.21.0 software, with a significance level set at p < 0.05.
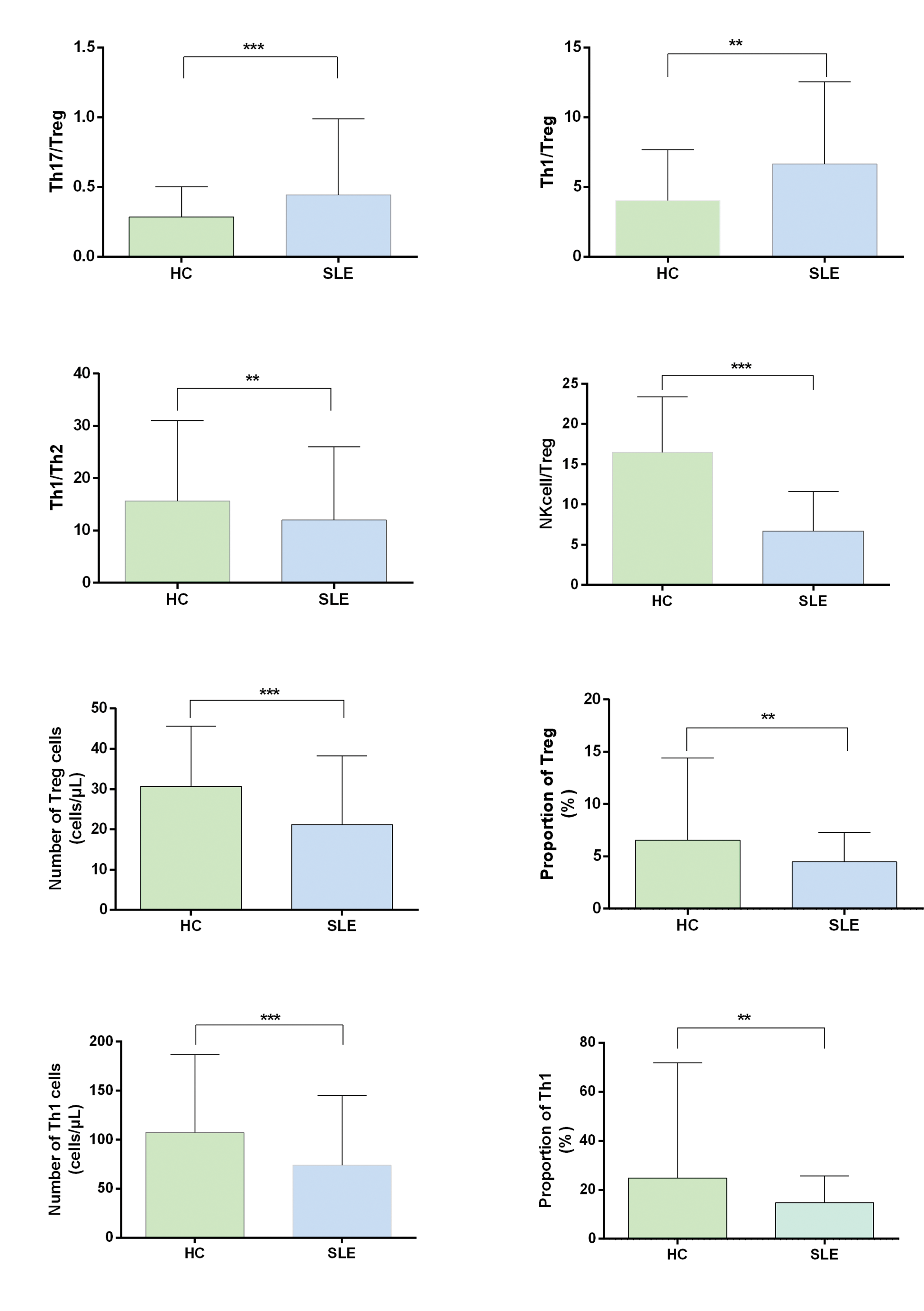
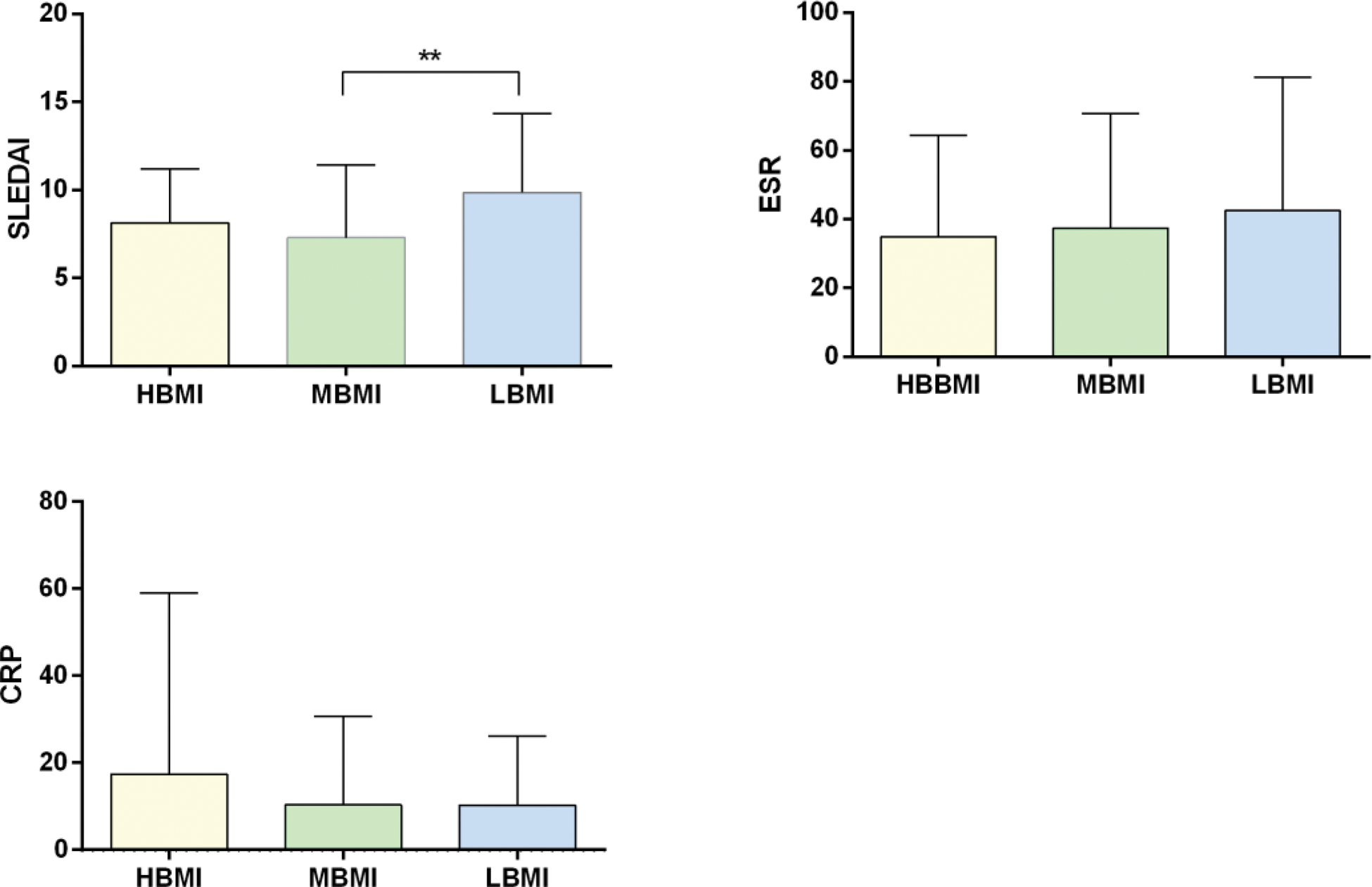
Results: Our study revealed significant variations in SLEDAI scores among SLE patients with different BMI levels, with the lowest BMI group exhibiting the highest disease activity (Figure 1). Compared to healthy controls, SLE patients showed a significant decrease in the quantity and percentage of Th1 and Treg cells, while the ratios of Th17/Treg and Th1/Treg were significantly increased (Figure 2). Notably, the Th1/Th2 ratio was lower in SLE patients than in the general population. Among SLE patients, those with low BMI had a lower Th1/Th2 ratio, whereas those with high BMI had reduced Tregs counts and increased CD8+ T cells and total T cell counts.
Conclusion: BMI influences SLE pathogenesis, with low BMI potentially associated with higher disease activity and distinct immune dysregulation patterns compared to higher BMI patients. These findings suggest that BMI could be a critical factor in SLE manifestation and treatment strategies.
REFERENCES: NIL.
Comparison of disease activity in SLE patients with different BMIs. **P < 0.01.
Comparison of peripheral CD4+ T cell subsets between SLE patients and healthy individuals. ** P<0.01, *** P<0.001.
Acknowledgements: This project was supported by grants from the Natural Science Foundation of Shanxi Province (No. 202203021221269).
Disclosure of Interests: None declared.
© The Authors 2025. This abstract is an open access article published in Annals of Rheumatic Diseases under the CC BY-NC-ND license (